Giải bài 80, 81, 82, 83 trang 33 SGK toán 8 tập 1

0
271
Rate this post

Giải bài tập trang 33 Ôn tập chương I – Phép nhân và phép chia các đa thức sgk toán 8 tập 1. Câu 80: Làm tính chia:…

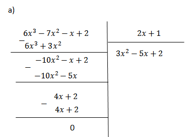
Bài 80 trang 33 sgk toán 8 tập 1

Làm tính chia:

a) (left( {6{x^3} – 7{x^2} – x + 2} right):left( {2x + 1} right))            

Bạn đang xem: Giải bài 80, 81, 82, 83 trang 33 SGK toán 8 tập 1

b) (left( {{x^4} – {x^3} + {x^2} + 3x} right):left( {{x^2} – 2x + 3} right)) ;

c) (left( {{x^2} – {y^2} + 6x + 9} right):left( {x + y + 3} right)) .

Hướng dẫn làm bài:

 

b) 

 

c) (left( {{x^2} – {y^2} + 6x + 9} right):left( {x + y + 3} right))

=(left( {{x^2} + 6x + 9 – {y^2}} right)left( {x + y + 3} right))

=(left[ {left( {{x^2} + 2x.3 + {3^2}} right) – {y^2}} right]:left( {x + y + 3} right))

=(left[ {{{left( {x + 3} right)}^2} – {y^2}} right]:left( {x + y + 3} right))

=(left( {x + 3 – y} right)left( {x + 3 + y} right):left( {x + y + 3} right))

= (x + 3 – y)

= (x – y + 3)

 


Bài 81 trang 33 sgk toán 8 tập 1

Tìm (x), biết:

a) ({2 over 3}xleft( {{x^2} – 4} right) = 0) ;                                     

b) ({left( {x + 2} right)^2} – left( {x – 2} right)left( {x + 2} right) = 0) ;

c) (x + 2sqrt 2 {x^2} + 2{x^3} = 0) .

Giải

a) ({2 over 3}xleft( {{x^2} – 4} right) = 0)

    ({2 over 3}xleft( {{x^2} – {2^2}} right) = 0)

     ({2 over 3}xleft( {x – 2} right)left( {x + 2} right) = 0)

Hoặc (x = 0)

Hoặc (x – 2 = 0 Rightarrow x = 2)

Hoặc (x + 2 = 0 Rightarrow   x = -2)

Vậy (x = 0,x =  – 2,x = 2)

b) ({left( {x + 2} right)^2} – left( {x – 2} right)left( {x + 2} right) = 0)

     (left( {x + 2} right)left[ {left( {x + 2} right) – left( {x – 2} right)} right] = 0)

     (left( {x + 2} right)left( {x + 2 – x + 2} right) = 0)

     (left( {x + 2} right).4 = 0)

    (x + 2 = 0)

    (x =  – 2)

Vậy (x=-2) 

c) (x + 2sqrt 2 {x^2} + 2{x^3} = 0)

    (xleft( {1 + 2sqrt 2 x + 2{x^2}} right) = 0)

    (x(1^2 + 2sqrt 2 x .1+ {left( {sqrt 2 x} right)^2}) = 0)

    (x{left( {1 + sqrt 2 x} right)^2} = 0)

Hoặc (x = 0)

Hoặc ({left( {1 + sqrt 2 x} right)^2} = 0  Rightarrow 1 + sqrt 2 x = 0Rightarrow  x =  – {1 over {sqrt 2 }})

Vậy (x = 0,x =  – {1 over {sqrt 2 }})

 


Bài 82 trang 33 sgk toán 8 tập 1

Chứng minh:

a) ({x^2} – 2xy + {y^2} + 1 > 0)  với mọi số thực (x) và (y);

b) (x – {x^2} – 1

Giải

a) ({x^2} – 2xy + {y^2} + 1 > 0)  với mọi số thực (x) và (y)

Ta có ({x^2} – 2xy + {y^2} + 1 = left( {{x^2} – 2xy + {y^2}} right) + 1)

=({left( {x – y} right)^2} + 1 > 0) do ({left( {x – y} right)^2} ge 0) với mọi (x, y).

b) (x – {x^2} – 1

Ta có (x – {x^2} – 1 =  – left( {{x^2} – x + 1} right))

=( – left[ {{x^2} – 2.x.{1 over 2} + {{left( {{1 over 2}} right)}^2} + {3 over 4}} right])

= ( – left[ {{x^2} – 2x.{1 over 2} + {{left( {{1 over 2}} right)}^2}} right] – {3 over 4})

=( – {left( {x – {1 over 2}} right)^2} – {3 over 4}

do ({left( {x – {1 over 2}} right)^2} ge 0) nên (-{left( {x – {1 over 2}} right)^2} le 0)

 


Bài 83 trang 33 sgk toán 8 tập 1

Tìm (n inmathbb Z)  để  (2{n^2} – n + 2)  chia hết cho (2n +1).

Giải

Ta có: ({{2{n^2} – n + 2} over {2n + 1}} = {{2{n^2} + n – 2n – 1 + 3} over {2n + 1}})

=({{nleft( {2n + 1} right) – left( {2n + 1} right) + 3} over {2n + 1}} = {{left( {2n + 1} right)left( {n – 1} right) + 3} over {2n + 1}} = n – 1 + {3 over {2n + 1}})

Để (2{n^2} – n + 2) chia hết cho (2n  + 1) (với (n inmathbb Z)) thì (2n + 1) phải là ước của (3). Do đó:

(2n + 1 = 1 =  > 2n = 0 =  > n = 0)

(2n + 1 =  – 1 =  > 2n =  – 2 =  > n =  – 1) 

(2n + 1 = 3 =  > 2n = 2 =  > n = 1)

(2n + 1 =  – 3 =  > 2n =  – 4 =  > n =  – 2)

Vậy (n = 0; -1; -2; 1)

Trường

Giải bài tập

Bản quyền bài viết thuộc thcs-thptlongphu. Mọi hành vi sao chép đều là gian lận!
Nguồn chia sẻ: https://thcs-thptlongphu.edu.vn
https://thcs-thptlongphu.edu.vn/giai-bai-80-81-82-83-trang-33-sgk-toan-8-tap-1/

Đăng bởi: Thcs-thptlongphu.edu.vn

Chuyên mục: Tổng hợp